Skip to content
  • Council & Administration
  • Operations
  • Bulletins • Notices • Events
  • Local Businesses
  • Contact & Forms
Regional Municipality Of Loon Lake Logo
  • Council & Administration
  • Operations
  • Bulletins • Notices • Events
  • Local Businesses
  • Contact & Forms
Regional Municipality Of Loon Lake LogoRegional Municipality Of Loon Lake Logo
Rcmp Feature
Rcmp Feature

RCMP Community Update

  • January 16, 2026
  • Bulletin

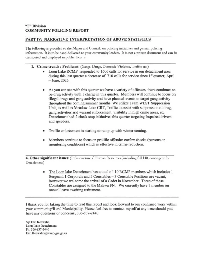
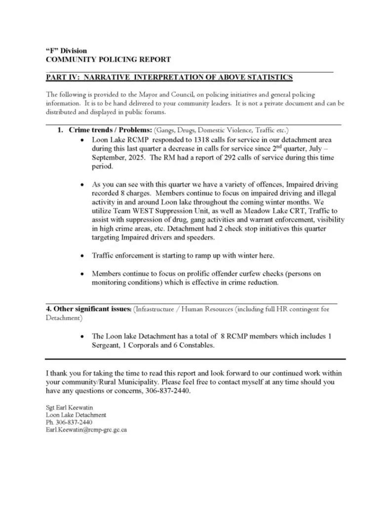
RM of Loon Lake RCMP Community Update For October 2025 to December 2025

Loon Lake Rm 3rd Quarterly Report Community Policing Report 2025 Page 1
Loon Lake Rm 3rd Quarterly Report Community Policing Report 2025 Page 2

Loon Lake Rec Feature
Previous Post Loon Lake Skating Lobby Clean Up
Next Post Biosecurity in Livestock Operations Webinar
Sarm Feature

Related Posts

Flood Recovery Feature

Flood Recovery Information for Municipalities 2026

  • May 15, 2026
Water Security Feature

Water Security Agency Spring 2026 Runoff Outlook (Update)

  • April 29, 2026
Village Summer Student Feature

Village of Loon Lake Summer Employment Opportunity

  • April 23, 2026
  • Address: Box 40 Loon Lake, SK S0M 1L0
  • Phone: 306.837.2076
  • Fax: 306.837.2282
  • Email: info@rmofloonlake.ca

We welcome everyone to sign up for emails regarding Important Notices, and Quarterly Newsletters, as well as Fire Ban Notifications.

If you want to consent to receiving other email from the RM of Loon Lake, complete and submit this form.

Copyright © 2026 Rural Municipality of Loon Lake

Privacy Policy

Websmithian Logo Tiny.png