Skip to content
  • Council & Administration
  • Operations
  • Bulletins • Notices • Events
  • Local Businesses
  • Contact & Forms
Regional Municipality Of Loon Lake Logo
  • Council & Administration
  • Operations
  • Bulletins • Notices • Events
  • Local Businesses
  • Contact & Forms
Regional Municipality Of Loon Lake LogoRegional Municipality Of Loon Lake Logo
Rcmp Feature
Rcmp Feature

RCMP Community Update

  • October 15, 2025
  • Bulletin

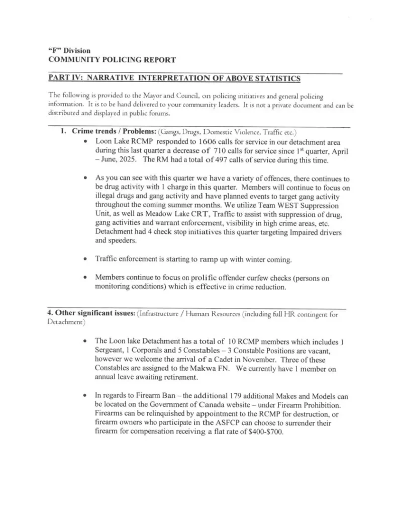
RM of Loon Lake RCMP Community Update

Skm C550i25101513390 0001
Skm C550i25101513390 0002
Skm C550i25101513390 0003
Loon Lake Care Home Auction Feature
Previous Post Loon Lake Special Care Home Christmas Silent Auction
Next Post Fire Ban Lifted
Fire Ban Lifted

Related Posts

Ess Ssc Feature

Ernie Studer School School Community Council Raffle

  • February 11, 2026
Water Tap

Water Loading Station

  • February 3, 2026
Sask Health

Loon Lake Clinic & Lab

  • January 29, 2026
  • Address: Box 40 Loon Lake, SK S0M 1L0
  • Phone: 306.837.2076
  • Fax: 306.837.2282
  • Email: info@rmofloonlake.ca

We welcome everyone to sign up for emails regarding Important Notices, and Quarterly Newsletters, as well as Fire Ban Notifications.

If you want to consent to receiving other email from the RM of Loon Lake, complete and submit this form.

Copyright © 2026 Rural Municipality of Loon Lake

Privacy Policy

Websmithian Logo Tiny.png